第四章 強非線性系統的頻閃—諧波平衡法
4-1 引言
在探索具有非線性遲滯特性元件的系統在簡諧激勵下穩(wěn)態(tài)響應的求解方法時,我們擬研究以下系統:
M
+
(x,
,A,ω)=Pcosωt (4-1)
式中M為系統質量,P為激勵力幅值,ω為激勵園頻率
(x,
,A,ω)=
1(A,x)+
2(A,ω,
),
1和
2分別為上章中的(3-12)和(3-41)式。為研究方便,將(3-12)和(3-41)式代入(4-1)式并改寫成以下形式:

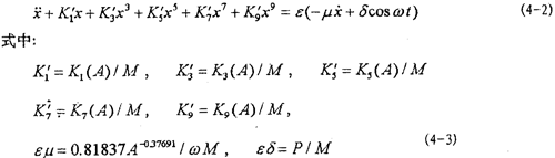
式中K1(A),K3(A),K5(A),K7(A),K9(A)為(3-27)式。由式(4-2)可知,這一系統是一個強非線性非自治系統。
目前文獻上的一些方法對于弱非線性系統是有效的,而對于(4-2)式的強非線性系統則遇到了麻煩。由于描述非線性振動系統的微分方程種類繁多,沒有普遍的解法,因此,仍然只有極少非線性振動方程可求得精確解。可行的辦法是針對不同非線性振動方程的特點尋求一些近似數值解法。為研究方便,將(4-2)式進一步寫成以下形式:

式中:
f(x,
,t)=-μ
+δcosωt (4-6)
ε為正小參數。
對于形如(4-4)式這樣的強非線性系統,李驪提出了一種新的頻閃法,近年,杜惠英和李驪用頻閃法研究了含有x5項強非線性系統的共振解和亞諧解雖然原則上該方法可適用于任意階強非線性系統,但是在實際應用中對更高階項會遇到積分計算問題,大大地限制了這種方法用于高階強非線性系統的研究。為了解決積分計算的困擾,本章提出一種新的方法—頻閃—諧波平衡法。
4-2 頻閃—諧波平衡法




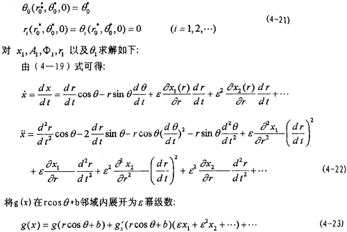
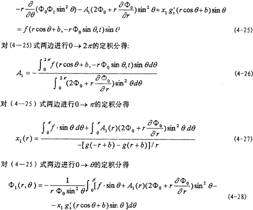
式中
=
g/
x,然后將(4-22),(4-23)及f(x,
,t)在rcosθ+b與-rф0sinθ鄰域內以ε冪級數展開式代入(4-4)式,由等號兩端ε的系數相等得:

式中f=f(rcosθ+b,-rф0sinθ,t),在進行以上積分時f中的時間t 代入以θ表示的函數,求法如下:
因為A1,x1,ф1各式右端均為ε=0時(4-19)中第二式和第三式中ε=0得:

由此兩式可求得r=常數,θ=θ(r,
,t)然后可求出反函數t=t(r,
,θ)。由于t式中包含θ0的初值
,因此由(4-26)~(4-28)式求得的A1,x1,ф1中也必然所含
,即A1(r,
), x1(r,
),ф1(r,
,θ0)。
上一頁
下一頁